PCTeXv5 Home Products Support Company

 

A Complete Mathematical Typesetting Environment
Custom-Designed Math Fonts for use with Times New Roman Fonts

New - Supplement A - AMS Fonts >>

New - Supplement B - Fraktur & Script >>

With the completion of Supplements A & B the MathTimePro fonts now provide a complete math typesetting environment.  These fonts may be used in place of Computer Modern fonts (the standard TeX fonts) in any LaTeX or TeX document.  Just add a line or two to your source document, and Computer Modern fonts will be replaced by MathTimeProfessional fonts.

Show a PDF comparing MTPro fonts with CM fonts          Show MTPro pricing        Buy Now
Show the MTPro user guide                                                
Show the MTPro LaTeX user guide

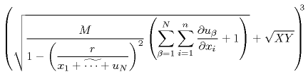
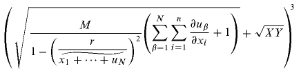
[Note: the following examples are displayed at low resolution, and are provided to show how MTPro fonts improve on Computer Modern fonts.  For a high resolution example, choose one of the PDF files above.]


 

Supplement A - AMS Fonts 

MathTimeProfessional Supplement A fonts provide the additional symbols from the American Math Society's msam and msbm fonts.  Like the MathTimeProfessional fonts these are provided in three design sizes:  

Additionally, there are four Blackboard fonts (Holey Roman Bold shown below), each at three design sizes:

Supplement A Guide (PDF)                    MTPro Pricing        Buy Now
Supplement A LaTeX Guide (PDF)
Supplement A Font Samples (PDF)


Supplement B - Fraktur & Script

MathTimeProfessional Supplement B fonts provide the Math Fraktur and Math Script fonts, as well as bold versions.  Like the MathTimeProfessional fonts these are provided in three design sizes.

The design of Math Fraktur aims to preserve the character of fraktur, while attempting to make some of the letters more distinguishable, especially when used in isolation.  A few letters have alternate versions, indicated in brackets, and there are also dotless i and j.

The Math Script font has the character of traditional mathematics script fonts (rather than the character of a "calligraphic" font), but with special attention given to certain letters, like I, J, and S, that need to be easily recognizable in isolation.  There are several variant letters in this font, shown in brackets, aside from dotless i and j.

Supplement B Guide (PDF)                   MTPro Pricing        Buy Now                       
Supplement B LaTeX Guide (PDF)
  
Supplement B Font Samples (PDF)

MathTime is a trademark of Publish or Perish, Inc.